英國語文學系

二年級考題 西洋文學概論:

891 2 901 2 3 911 2 3 4 921 2 3 4 931 2 3 4 5 6 941 2 951 2 96 97 98 99 100 101

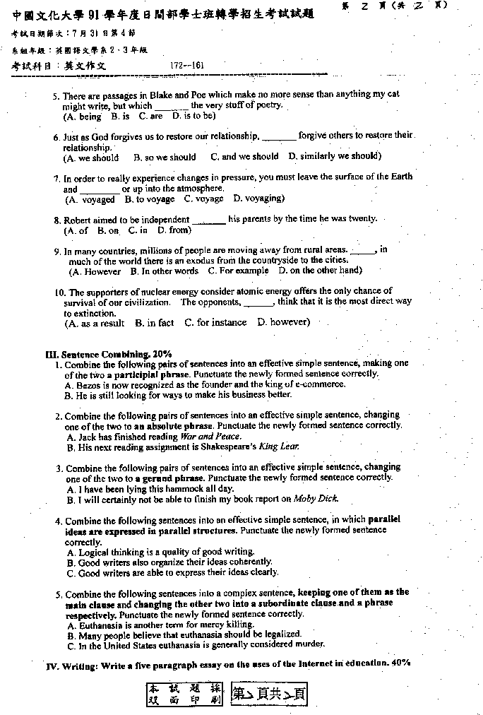
二年級考題 英文作文:

891 2 901 2 3 4 911 2 921 2 931 2 94 951 2 96 97 98 99 100 101 101(寒轉) 102 102(寒轉) 103 103(寒轉) 104 104(寒轉) 105 105(寒轉)

三年級考題 西洋文學概論:

891 2 931 2 3 4 5 6 941 2 951 2 96 97 98 99 100 101 102 103 104

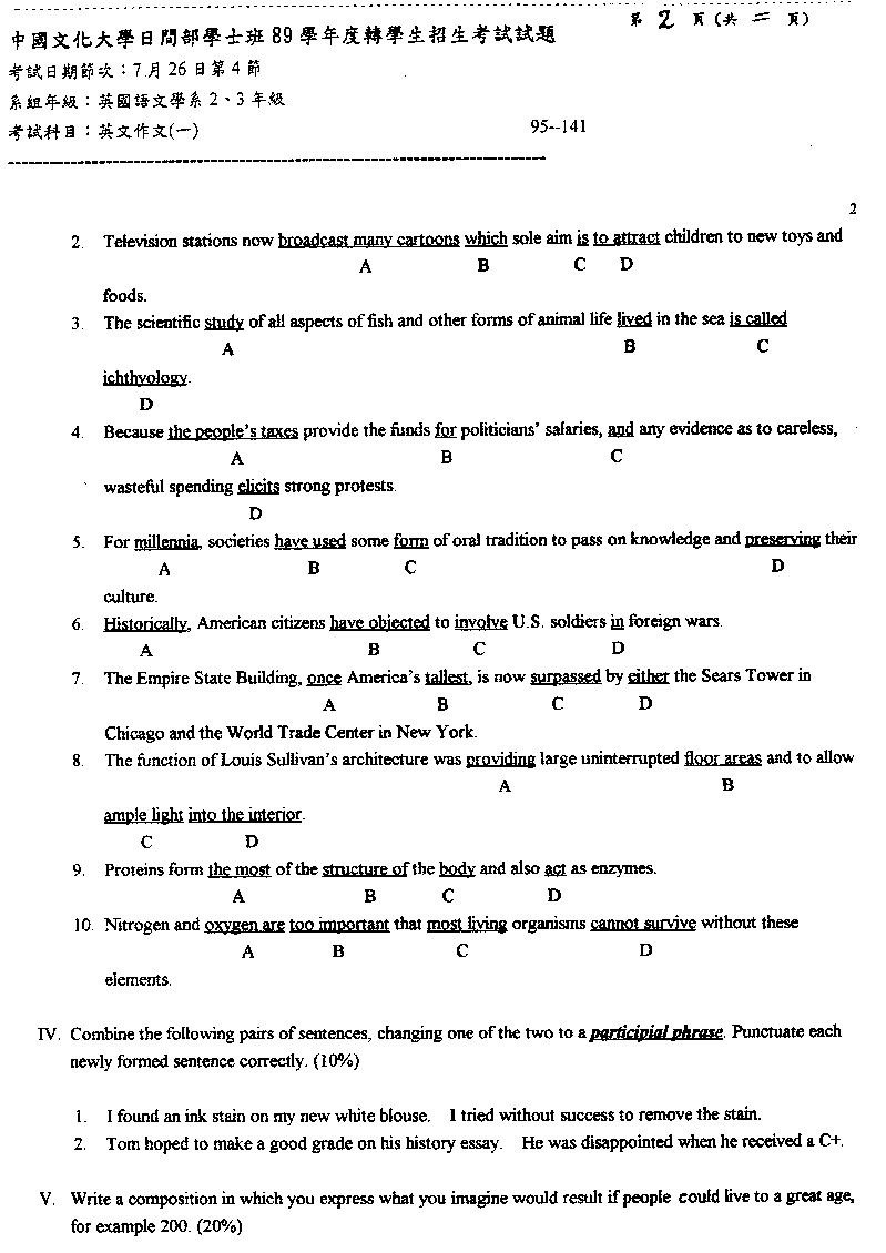
三年級考題 英文作文:

891 2 901 2 3 4 911 2 921 2 931 2 94 951 2 96 97 98 99 100 101 101(寒轉) 102 102(寒轉) 103 104 105 105(寒轉)

三年級考題 英國文學(一):

891 2 90 911 2 92 103(寒轉) 104(寒轉)

三年級考題 語言學概論:

901 2 3 4 911 2 3 4 921 2 931 2 3 4 5 6 7


回前頁